• Предмет: Алгебра
  • Автор: Аноним
  • Вопрос задан 3 года назад

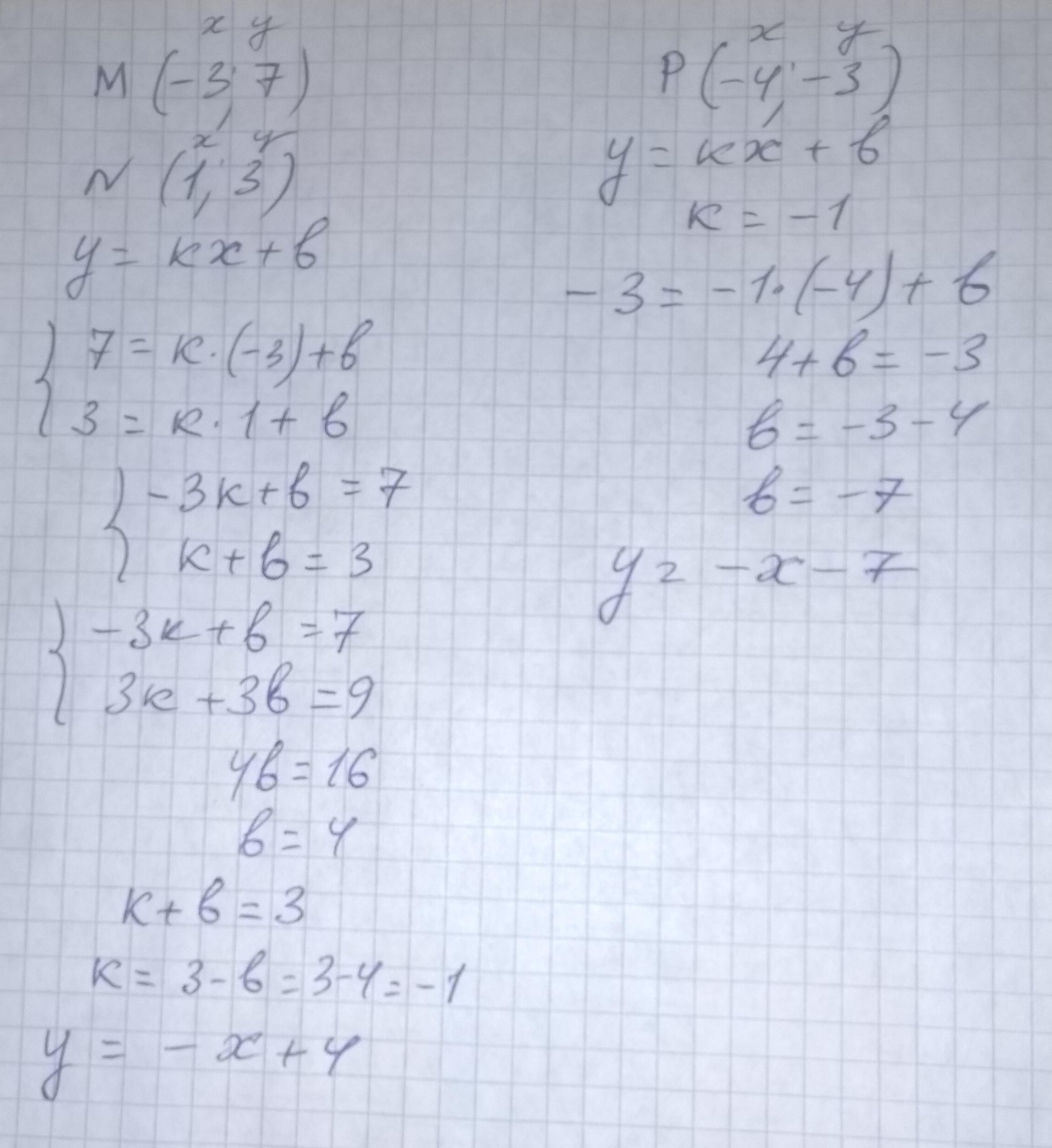
Прямая проходит через точки M(-3;7) и N(1;3). Напишите уравнение прямой, параллельной MN и проходящей через точку(-4;-3)
пожалуйста, ставлю 30...​

Ответы

Ответ дал: Аноним
1

Ответ:

решение на фото

Объяснение:

Приложения:

Аноним: спасибо, жалко что уже не нужно, но все верно!!!
Вас заинтересует