• Предмет: Математика
  • Автор: anara081002
  • Вопрос задан 3 года назад

Пожалуйста решите!!!!!!

Приложения:

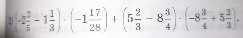
Ответы

Ответ дал: roshchupckinaaniuta
1

Ответ:

31 109/144 или 31,756

Пошаговое объяснение:

Вас заинтересует