• Предмет: Алгебра
  • Автор: Pomoshnik1488
  • Вопрос задан 10 лет назад

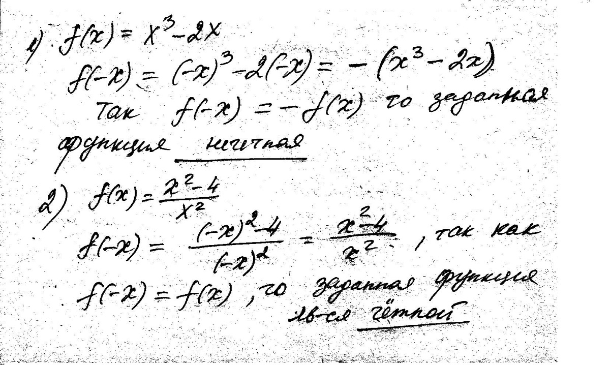
f(x)=x³-2x является нечетной
       x²-4
f(x)=--------- является четной
        x²

Ответы

Ответ дал: Vladislav006
0
Решение смотри ниже в приложении
Приложения:
Ответ дал: Pomoshnik1488
0
Можешь еще помочь ?
Вас заинтересует