• Предмет: Математика
  • Автор: Аноним
  • Вопрос задан 3 года назад

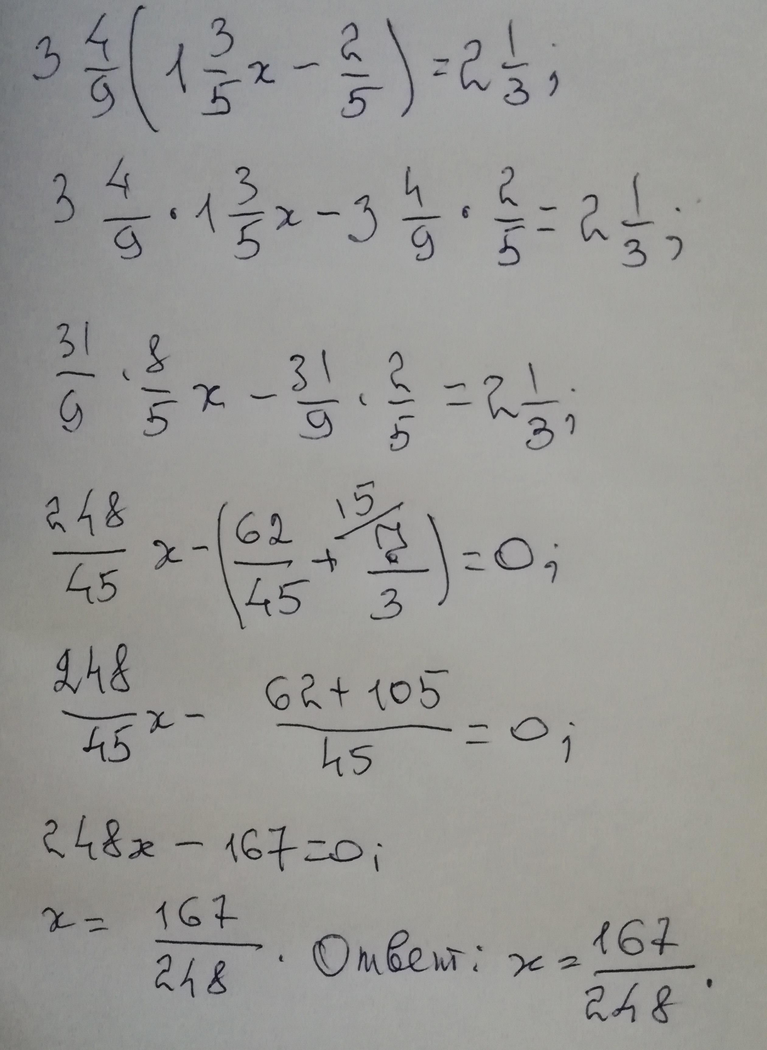
РЕШИТЕ ПОЖАЛУЙСТА! УРАВНЕНИЕ С ДРОБЯМИ!
МНЕ НУЖНО ТОЛЬКО РЕШЕНИЕ.
ОТВЕТ ДОЛЖЕН ПОЛУЧИТЬСЯ 167/248
Спасибо зарание за помощь!!!!!!

Приложения:

Ответы

Ответ дал: kyalturarbekova
1

Ответ:

это решени остаётся написать ответ ты его знаешь

Приложения:

kyalturarbekova: ответ x= 164_248
kirgeev: Как-то не правильно записано
ildar50: добавлю фото с решением...
kyalturarbekova: что?
ildar50: х=167/248
kyalturarbekova: я знаю хотела передать дробь так
kyalturarbekova: а то в твоём случаи смахивает на деление
Ответ дал: ildar50
1

Ответ:

Пошаговое объяснение:

Подробное решение в приложении

Приложения:

kirgeev: Спасибооо
Вас заинтересует