Ответы
Ответ дал:
0
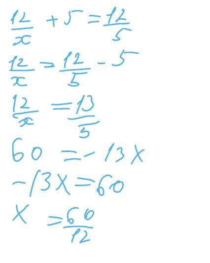
Ответ:
х=-60/13
Объяснение:
фото с решением
Приложения:

Ответ дал:
0
Ответ:
12/x+5= -12/5
12/x+5= -12/5,. x не равно 0
12/x= -12/5-5
12/x= -37/5
60= -37x
-37x=6
x= -66/37,. x не равно 0
x= -60/37
Вас заинтересует
2 года назад
2 года назад
2 года назад
7 лет назад
9 лет назад