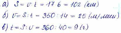
Формула s=v*t а) путь S, если v=17км/ч, t=6 ч б) скорость v , если S =350м, t=14 мин в) время t, если S =360км, v=40 км/ч
nikita9052009:
Помогите пожалуйста
Ответы
Ответ дал:
2
Ответ:
сделай ответ лучшим пожалуйста
Приложения:

Ответ дал:
2
S = V * T
a) S = ?
S = V * T = 17 * 6 = 102 км
b) V = ?
S = V * T
V = S / T = 350 / 14 = 25 м/мин
c) T = ?
S = V * T
T = S / V = 360 / 40 = 9ч
Вас заинтересует
2 года назад
2 года назад
2 года назад
7 лет назад