• Предмет: Алгебра
  • Автор: gamernaton270907ka
  • Вопрос задан 3 года назад

Помогите с примером . Срочно !!!!!

Приложения:

Ответы

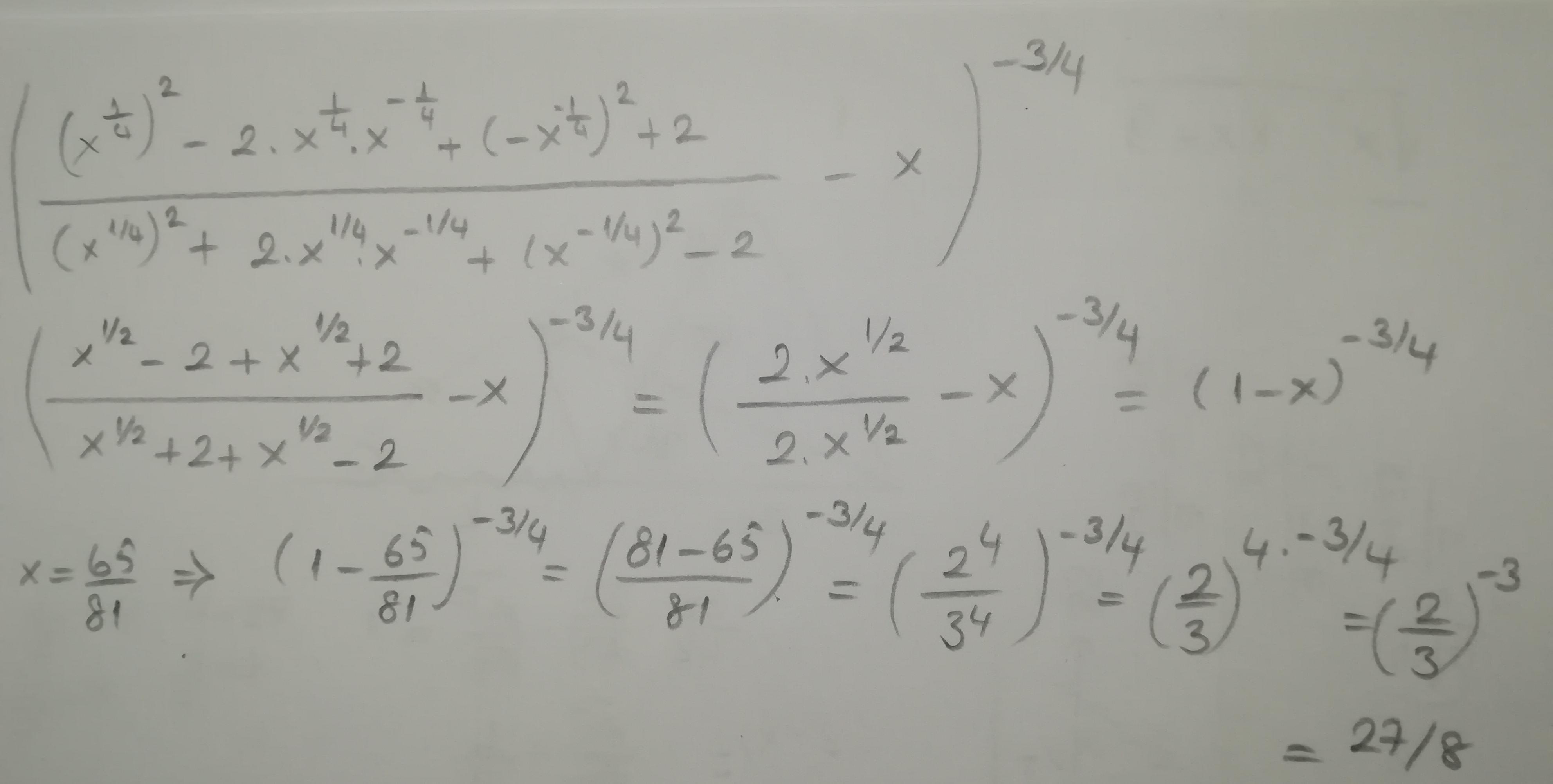
Ответ дал: Mirage86
0

Я надеюсь, это поможет вам

Приложения:
Вас заинтересует