• Предмет: Математика
  • Автор: azarmedetova
  • Вопрос задан 3 года назад

срочно пж помогите пожалуйста

Приложения:

Ответы

Ответ дал: anastasipovilika
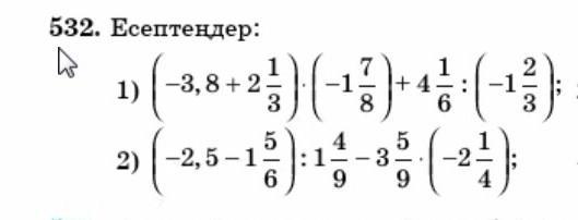
1

Ответ:

1) 13/16

2) 5

Пошаговое объяснение:

на фото

Приложения:
Вас заинтересует