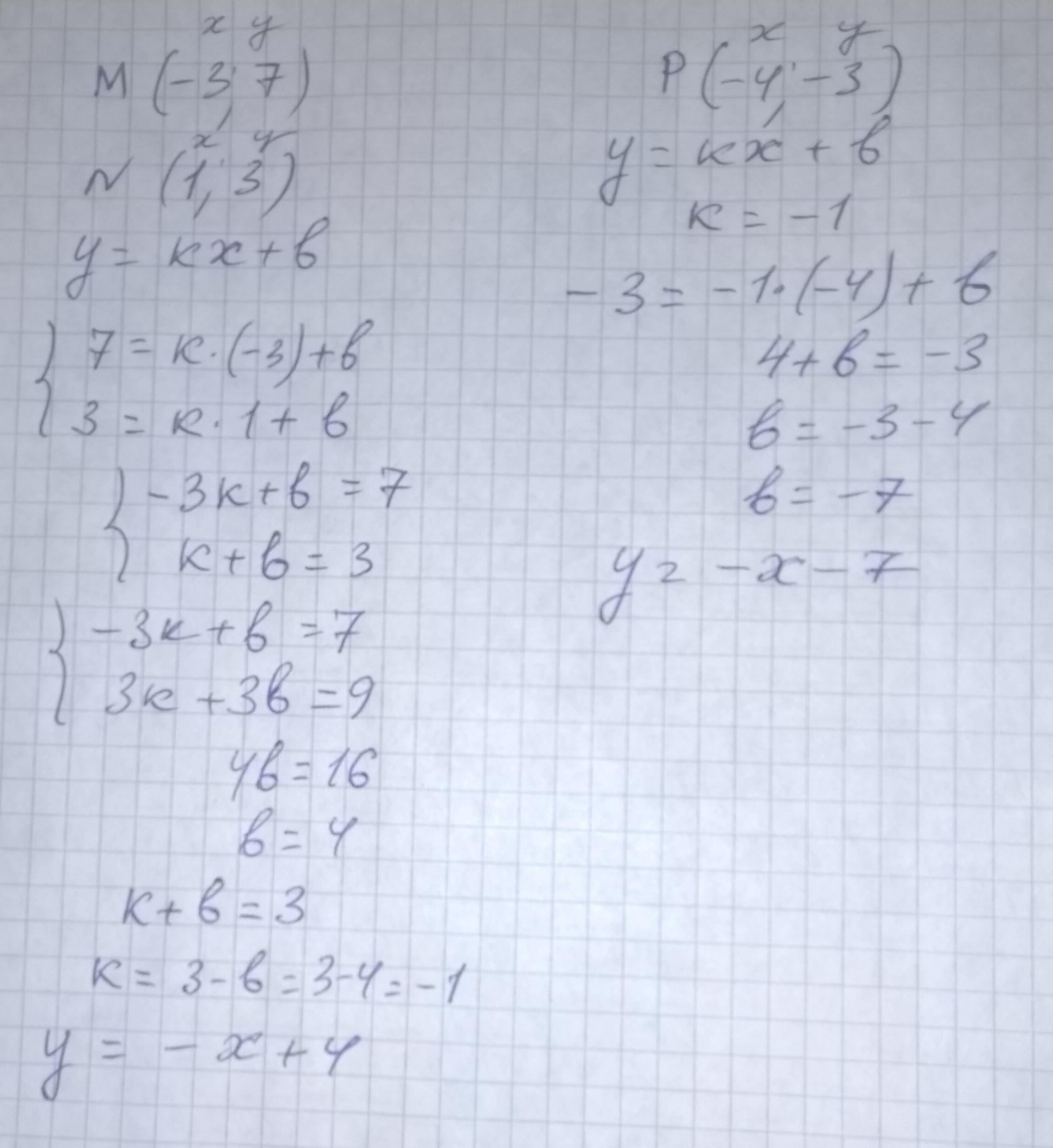
Прямая проходит через точки M(-3;7) и N(1;3). Напишите уравнение прямой, параллельной MN и проходящей через точку(-4;-3)
пожалуйста
Аноним:
какой класс?
Ответы
Ответ дал:
1
Ответ:
решение на фото
Объяснение:
Приложения:

Вас заинтересует
2 года назад
2 года назад
2 года назад
7 лет назад
7 лет назад