Помогите пожалуйста с алгеброй!!!!!! очень надо!!!!!! Номер 10.7 (1) Заранее спасибо за помощь!!!!!!! :-) :-) :-)
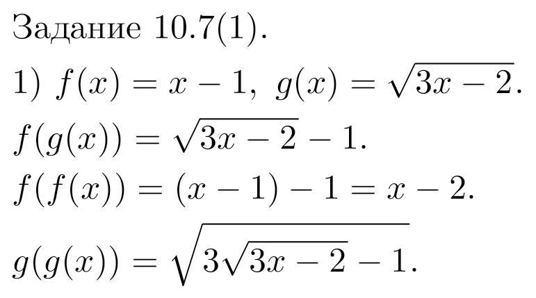
Приложения:
Ответы
Ответ дал:
3
~~~~~~~~~~~~~~~~~~~~
Приложения:
Eclipse1125:
Спасибо что помогла мне :-) :-) :-)
))
привет сможешь помочь мне с алгеброй?
Помогите пожалуйста с алгеброй!!!!!! очень надо!!!!! Номер 19.4 Заранее спасибо за помощь!!!!! (-: (-: :-) :-)
https://znanija.com/task/40444175?utm_source=android&utm_medium=share&utm_campaign=question
https://znanija.com/task/40444175?utm_source=android&utm_medium=share&utm_campaign=question
Вас заинтересует
2 года назад
2 года назад
2 года назад
8 лет назад
8 лет назад
9 лет назад