Ответы
Ответ дал:
2
Ответ:
☆☆☆☆☆☆☆☆☆☆☆☆☆☆☆☆☆☆☆☆☆☆☆☆☆☆☆☆☆☆☆
Приложения:


veronika8472:
красава
Ответ дал:
1
Пошаговое объяснение:
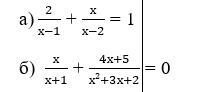
все на фото, там а и Б.....
Приложения:


Вас заинтересует
2 года назад
2 года назад
2 года назад
2 года назад
7 лет назад