Ответы
Ответ дал:
0
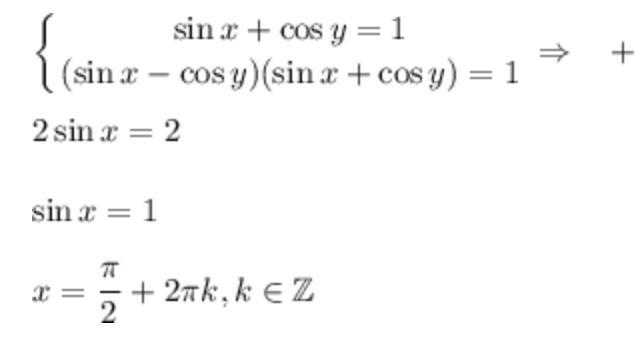
Второе уравнение преобразуем по формуле разности квадратов
Приложения:

turalyarajlym:
это другая задача?
Вас заинтересует
2 года назад
2 года назад
2 года назад
2 года назад
7 лет назад
7 лет назад