• Предмет: Математика
  • Автор: azazazazaz87
  • Вопрос задан 3 года назад

воооооооооооооооооооооот)​

Приложения:

Ответы

Ответ дал: Butterfly333666
0

Ответ:

Пошаговое объяснение:

Приложения:

Butterfly333666: Надеюсь понятно
azazazazaz87: а выриант та какой
Butterfly333666: Вам это помогло?
azazazazaz87: тут не ответа 2 48/60
Butterfly333666: Тоесть? Всё что в примере было я решила
azazazazaz87: не правильно решили, не хочу обижать
Butterfly333666: Извините
Ответ дал: parus77
0

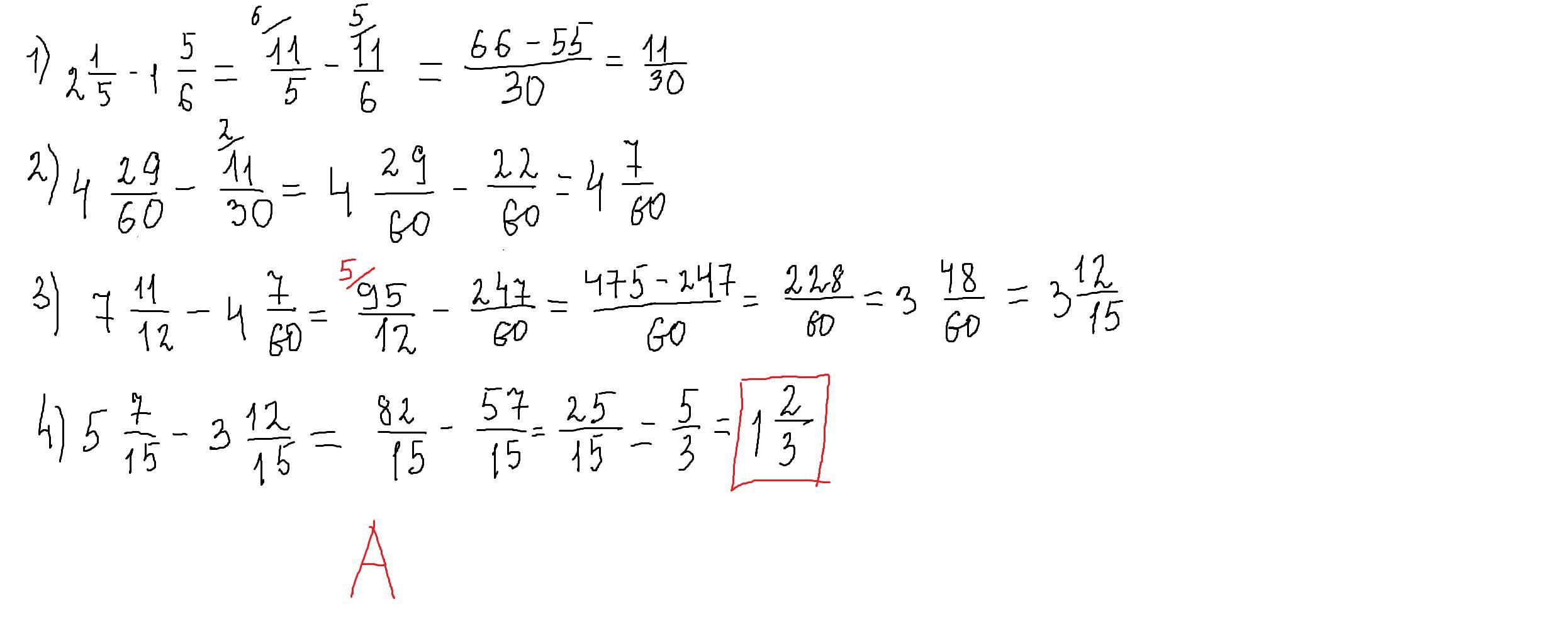
Ответ:

А) 1 2\3

Пошаговое объяснение:

решение по действиям внизу

Приложения:

azazazazaz87: это правильно?, или возможно
azazazazaz87: ?.
azazazazaz87: ?..
Вас заинтересует