• Предмет: Математика
  • Автор: Amina1204
  • Вопрос задан 3 года назад

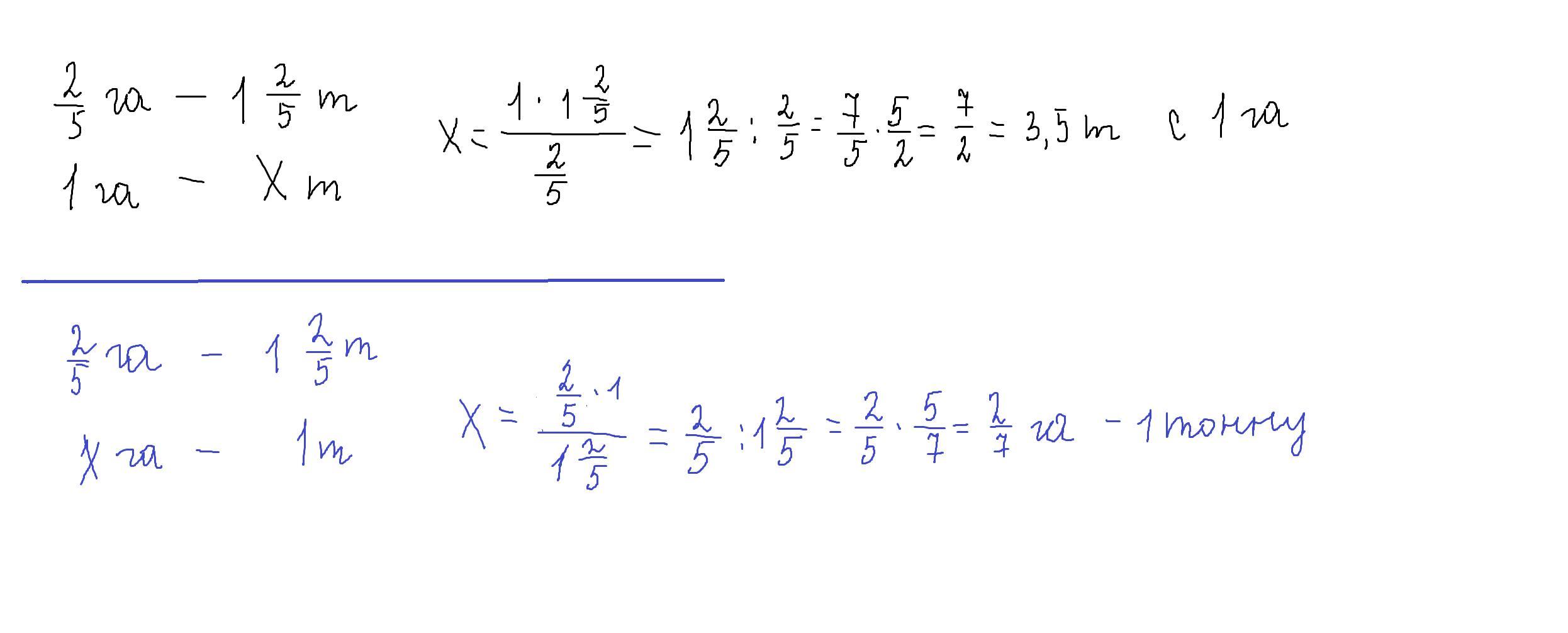
6 класс задача даю 20 баллов​

Приложения:

Ответы

Ответ дал: parus77
1

Ответ:

Пошаговое объяснение:

решение внизу

Приложения:
Вас заинтересует