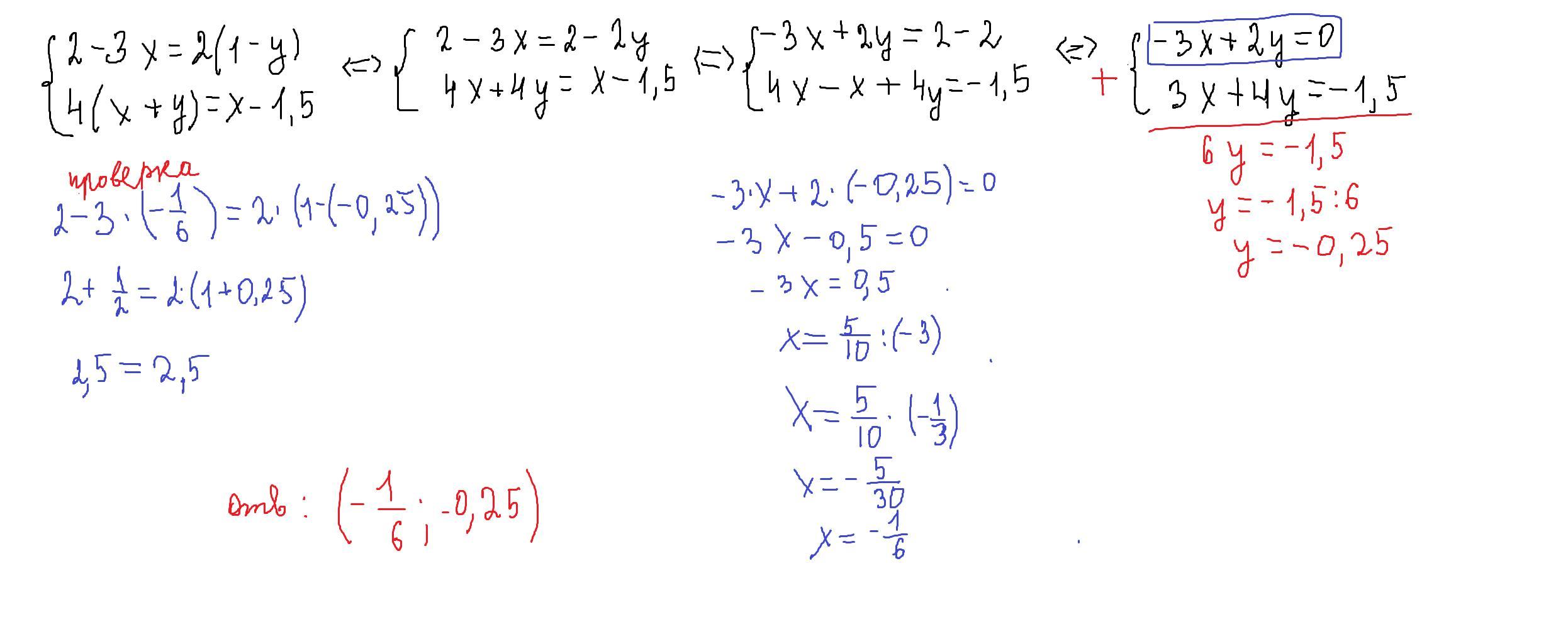
{2-3х=2(1-у)
{4(х+у)=х-1.5 решите пожалуйста линейное уравнение как можно подробнее куда что переносим
parus77:
это уравнение или система уравнений?
Ответы
Ответ дал:
0
Привет!
Вот тебе решение. Для проверки можешь подставить получившийся ответ в изначальную систему, все должно получиться. =)
Приложения:

Ответ дал:
0
Ответ:
(-1\6;-0,25)
Объяснение:
решение внизу,если не понравится оформление-можешь смело отмечать нарушение.Я просто очень давно не оформляла решение таких заданий,и не знаю ,как вы это записываете сейчас.
Приложения:

Вас заинтересует
2 года назад
2 года назад
2 года назад
7 лет назад
7 лет назад
9 лет назад