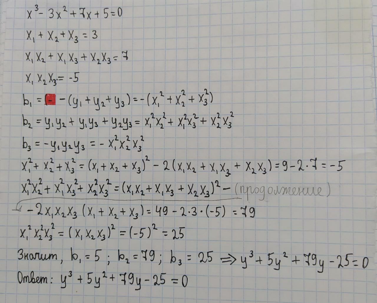
Напишите кубическое уравнение, корни которого являются квадратами корней уравнения x3 – 3x2 + 7x + 5 = 0.
Ответы
Ответ дал:
3
Ответ: на первом фото - ответ(не обращайте внимания на красную точку, это моя ошибка), на втором - объяснение
Пошаговое объяснение:
Приложения:


Вас заинтересует
2 года назад
2 года назад
2 года назад
7 лет назад
7 лет назад