• Предмет: Алгебра
  • Автор: ratas213fd
  • Вопрос задан 3 года назад

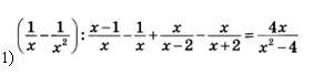
помогите доказать торжество

Приложения:

Ответы

Ответ дал: durdonamuhammadieva6
0

Объяснение:

.........вот............

Приложения:

ratas213fd: спс
Вас заинтересует