• Предмет: Математика
  • Автор: ayewnukgoda
  • Вопрос задан 3 года назад

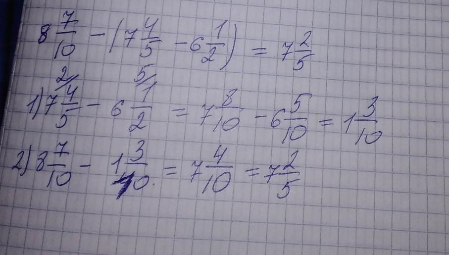
найдите значение выражения:
1) 8 7/10 - { 7 4/5 - a } при а = 6 1/2 , даю 10 баллов

Приложения:

Ответы

Ответ дал: alesyaperova
3

Пошаговое объяснение:

решение на фото...............

Приложения:

ayewnukgoda: спасибочки ❤️
Вас заинтересует