• Предмет: Математика
  • Автор: ipin2003
  • Вопрос задан 3 года назад

Нужен срочно ответ!!!!

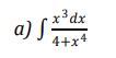
Приложения:

Ответы

Ответ дал: dashakolobkova
0

Ответ:74

Пошаговое объяснение:

Вас заинтересует