• Предмет: Математика
  • Автор: medal200
  • Вопрос задан 3 года назад

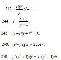
Помогите решить задания. Как можно скорее. Дифференциальные уравнения

Приложения:

Ответы

Ответ дал: Miroslava227
1

Ответ:

решение на фотографии

в 246 был сложный интеграл, решала его через приложение, поэтому не совсем уверена в ответе

Приложения:

56754332: помогите с алгеброй люди
Вас заинтересует