2.Построить график функции: а) у = 3/х
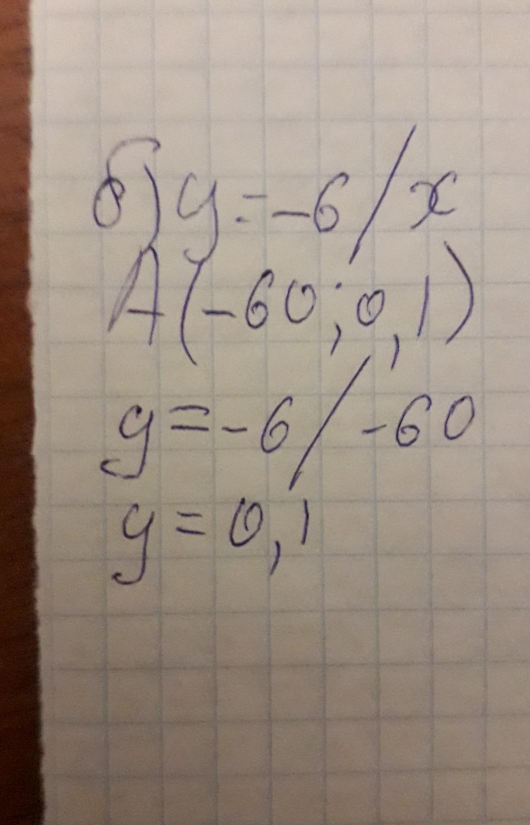
б). Принадлежит ли графику функции y = -6/х точка А (-60; 0,1 ?
Ответы
Ответ дал:
1
Ответ:
а)на фото
б)пренадлежит
Приложения:


Вас заинтересует
2 года назад
2 года назад
2 года назад
2 года назад
7 лет назад
9 лет назад
9 лет назад