пж пж пж пж помогите
Приложения:

Maryka562:
О ну это долго я сама не поняла эту тему хцдшая тема из Математики!
Ответы
Ответ дал:
0
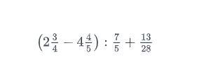
Ответ:
Пошаговое объяснение:
Приложения:


Ответ дал:
1
Ответ:
-1
Пошаговое объяснение:
(11/4-24/5)*5/7+13/28
-41/4*1/7+13/28
-41/28+13/28
-1
Вас заинтересует
2 года назад
2 года назад
2 года назад
7 лет назад