• Предмет: Математика
  • Автор: Аноним
  • Вопрос задан 3 года назад

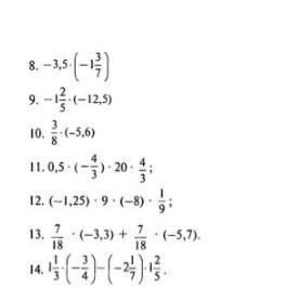
примеры по математики тема дроби​

Приложения:

Ответы

Ответ дал: gargamel10
0

Ответ:

8-5

9-35/2 или 17,5

10- -21/10 или -2,1

11- - 160/9 или 17,7

12-10

13- -7/2 или - 3,5

14- -1/7

Вас заинтересует