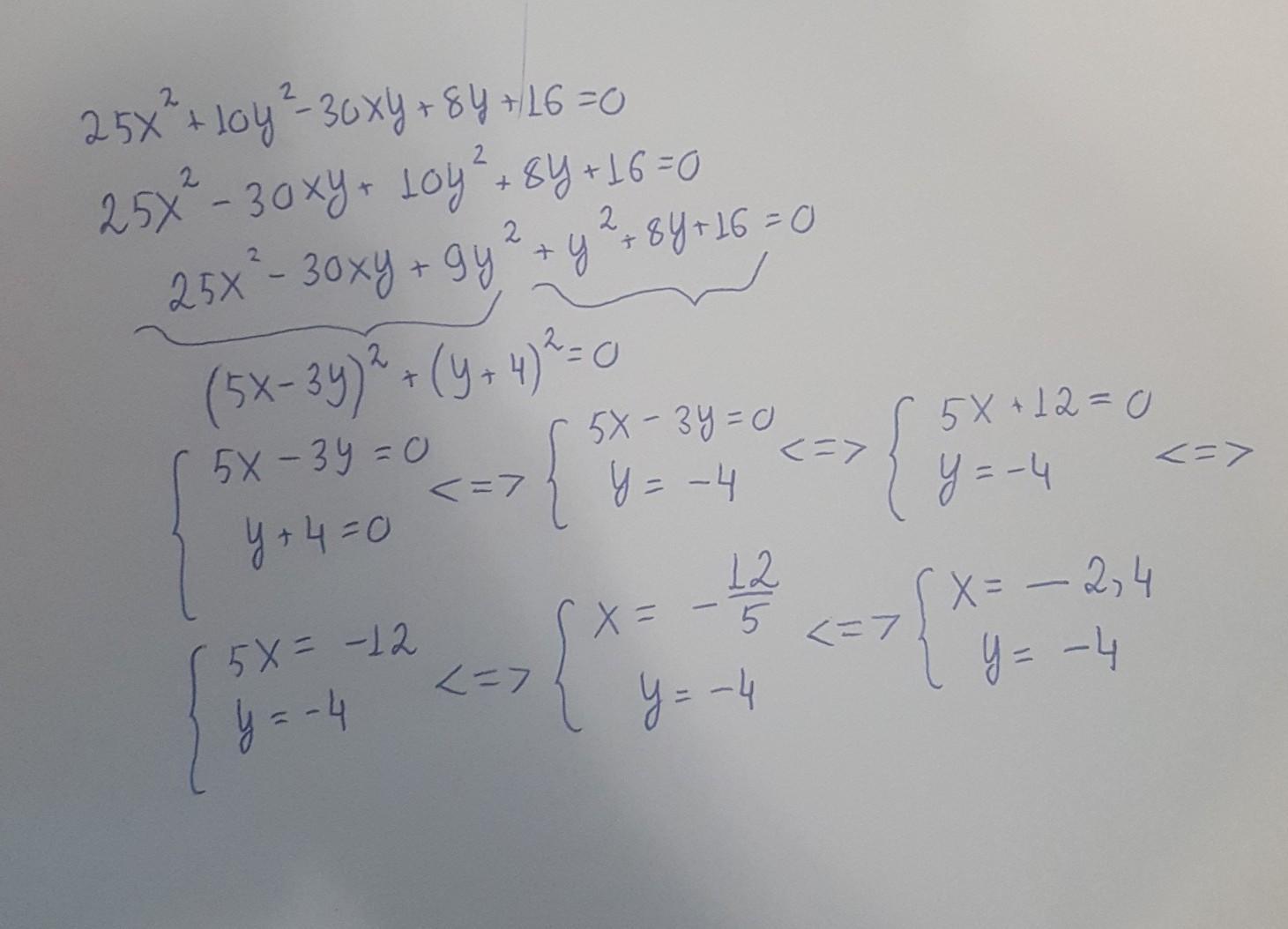
25х^2+10у^2-30ху+8у+16=0
Решить уравнение.
Только без производных, корней и другого.
Я знаю, что это почти невозможно, но это уравнение присутствует в учебнике 7 класса...
Ответы
Ответ дал:
4
Объяснение:
Решение на фоторафии.....
Ничего невозможного нет.
Приложения:

gedomazo34:
гениально
Вас заинтересует
2 года назад
2 года назад
2 года назад
2 года назад
7 лет назад
7 лет назад
9 лет назад