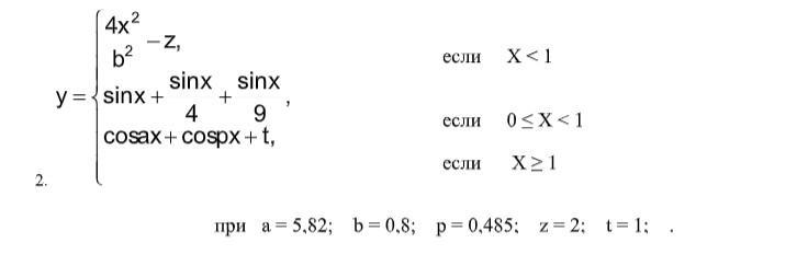
Составьте программы вычисления значения функции, ко второй задаче начертите блок- схему даю 35 баллов
Приложения:

Ответы
Ответ дал:
0
Ответ:
ты скачай приложение по имени
Объяснение:
там снизу
фотомач
masharus2017:
это информтика
Вас заинтересует
2 года назад
2 года назад
2 года назад
2 года назад
7 лет назад
9 лет назад