• Предмет: Математика
  • Автор: qirina78
  • Вопрос задан 3 года назад

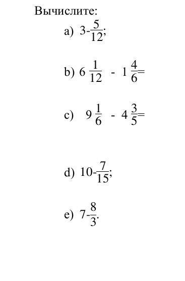
Помогите пожалуйста

Приложения:

Ответы

Ответ дал: Ulyanaoo
1

Ответ:

a= 2 7/12

b= 4 5/12

c= 4 17/30

d= 9 8/15

e= 4 1/3

Вас заинтересует