• Предмет: Математика
  • Автор: 57862327685
  • Вопрос задан 3 года назад

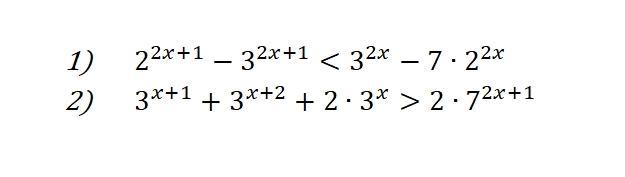
Хелп надо срочно!!!!!!!!!!!!!!!!!!

Приложения:

Ответы

Ответ дал: azimovasajera97
0

ну первое кажется 14 у меня прост нет листа точно не знаю


Аноним: тогда пусть будет!
azimovasajera97: откуда он у меня может быть бесишь уже
Вас заинтересует