• Предмет: Геометрия
  • Автор: cuzinaany4
  • Вопрос задан 3 года назад

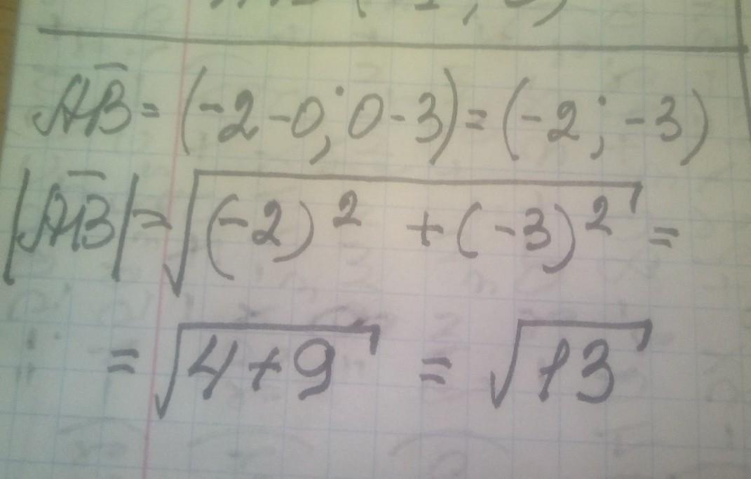
Даны точки А(0;3) В(-2;0) С (5;2)
1.найдите координаты и длинну вектора АВ

Ответы

Ответ дал: manyny06
0

Ответ:

решение на фотографии

Приложения:
Вас заинтересует