Ответы
Ответ дал:
1
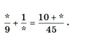
решение см на фото
приводим к общему знаменателю
Приложения:

Вас заинтересует
2 года назад
2 года назад
2 года назад
7 лет назад
9 лет назад