• Предмет: Алгебра
  • Автор: verastorozhewa
  • Вопрос задан 3 года назад

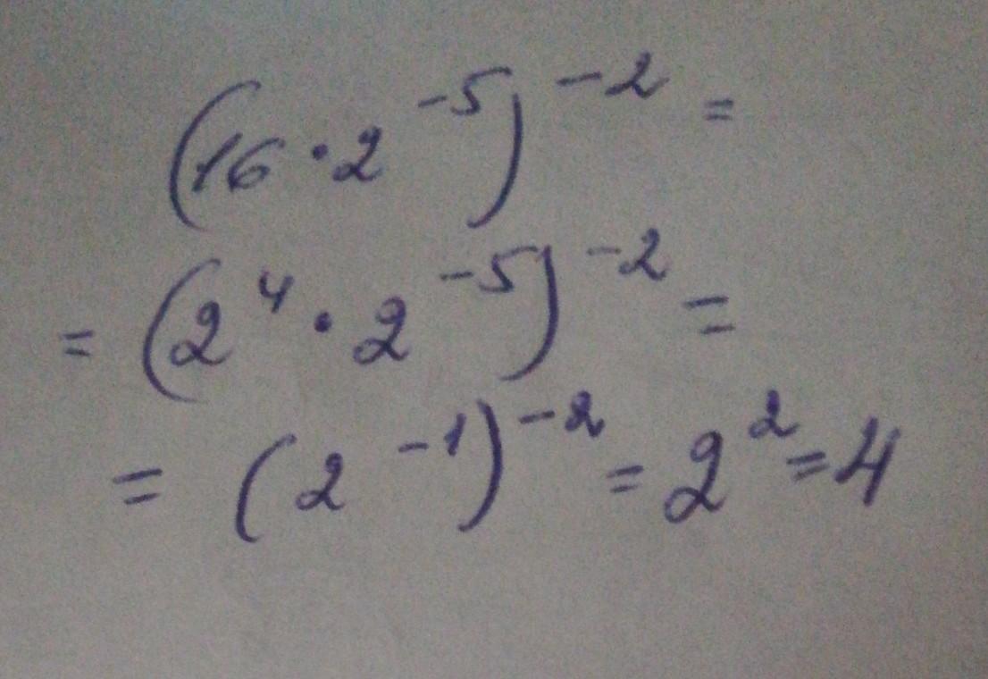
(16 ∙ 2^−5)^−2
ВЫЧИСЛИТЬ
ПОЖАЛУЙСТА

Ответы

Ответ дал: serovaksusa1
1

Ответ:

Смотри решение на фото

Приложения:
Ответ дал: mashakalenyk04
0

Ответ:

Пожалуста:(2^4×2-5)^-2=(2^-1)^-2=2^2=4

Вас заинтересует