Ответы
Ответ дал:
0
Ответ:
1) D=64+36=100
x1= -8+10/6=1/3
x2=-8-10/6= -3
2) D=49-24=25
x1=7+5/4=3
x2=7-5/4=1/2
3)D=25+24=49
x1=5+7/-4=-3
x2=5-7/-4=1/2
вот так?
Объяснение:
anjelikatolmaceva:
спасибоо
Ответ дал:
0
Ответ:
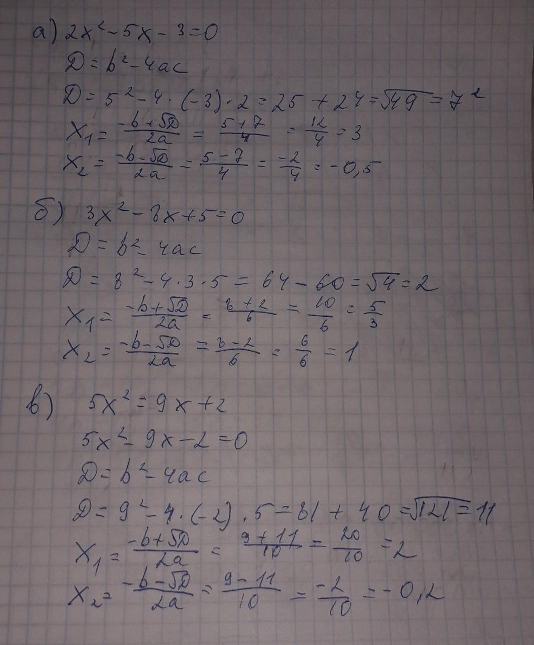
Ответы на вложенном фото
Приложения:

Вас заинтересует
2 года назад
2 года назад
2 года назад
2 года назад
7 лет назад
9 лет назад