• Предмет: Математика
  • Автор: jrfjfdjfj
  • Вопрос задан 3 года назад

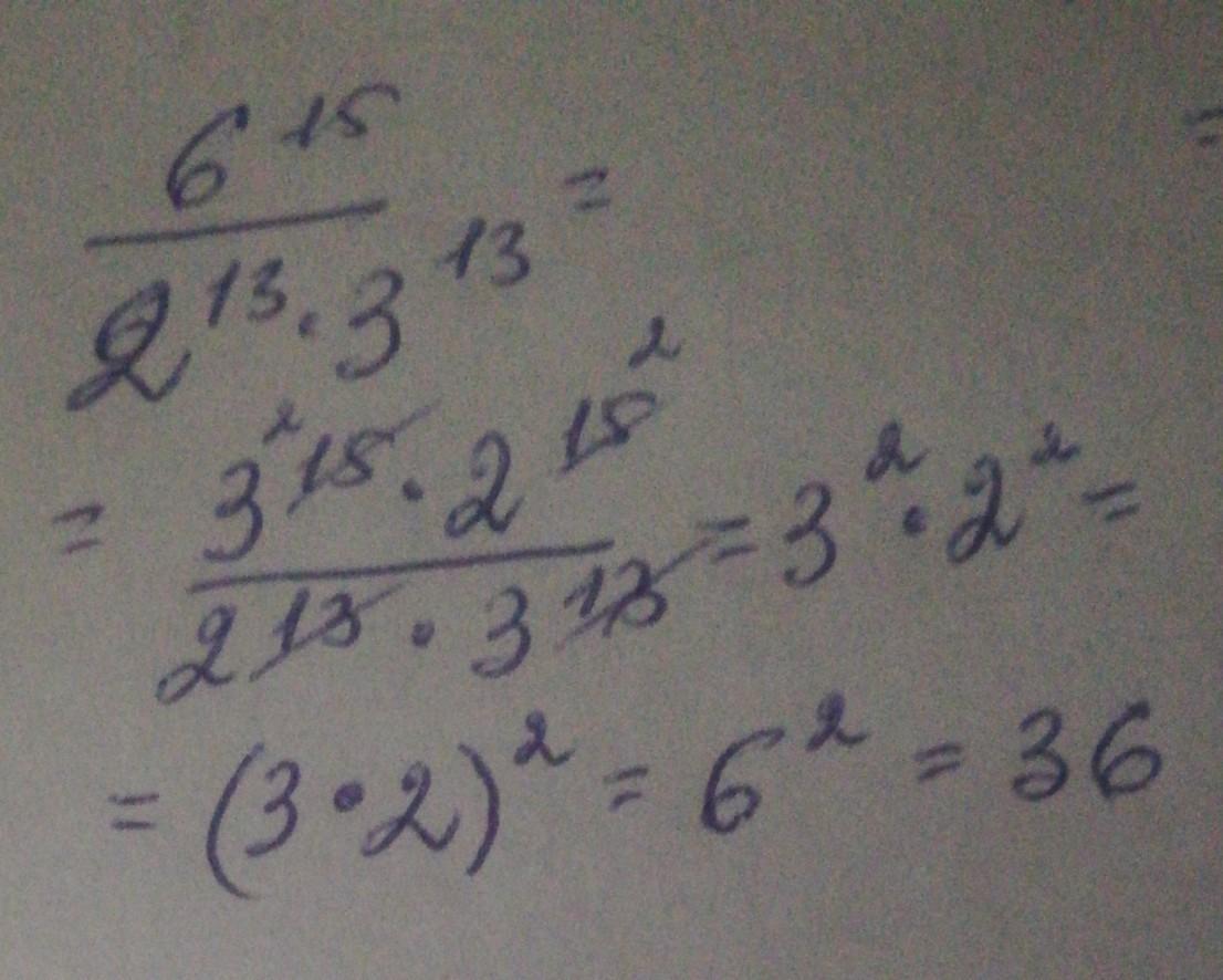
Вычисли пример и найди его сумму

Приложения:

Ответы

Ответ дал: serovaksusa1
1

Ответ:

Смотри решение на фото

Приложения:
Вас заинтересует