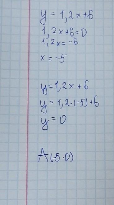
выполнив построение графика выясните в каких точках пересекаются с осями координат у=1,2х+3?пожалуйстаа срочно
alisakolesnikova42:
если знаешь ответ скажи пожалуйста
Ответы
Ответ дал:
2
Ответ:
вот ответ♡♡♡♡♡♡☆♡♡♡♡♡
Приложения:

Вас заинтересует
2 года назад
2 года назад
2 года назад
2 года назад
7 лет назад
9 лет назад