Помогите пожалуйста, нужно очень срочно !!!! От этой работы у меня зависит оценка !!! Помогите пожалуйста
Приложения:

madina4495:
Помогите пожалуйста нужно очень срочно
Ответы
Ответ дал:
1
Ответ:
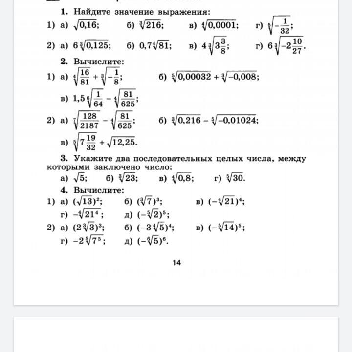
Решил первый номер
Объяснение:
Первый номер:
1) a) 0.4 б) 6 в) 0.1 г) -0.5
2) а) 3 б) 2.1 в) 6 г) 8
Вас заинтересует
2 года назад
2 года назад
2 года назад
7 лет назад
7 лет назад
9 лет назад