Ответы
Ответ дал:
0
Ответ:
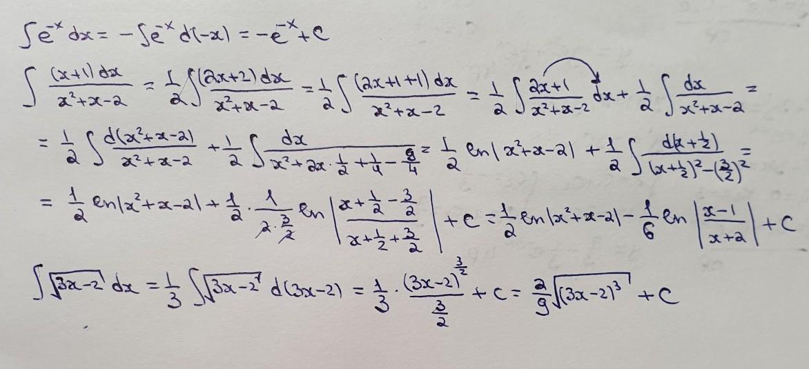
решение на фотографии
Приложения:

aysel2020:
Спасибо :))
Вас заинтересует
2 года назад
2 года назад
2 года назад
9 лет назад