• Предмет: Алгебра
  • Автор: nurayim27
  • Вопрос задан 3 года назад

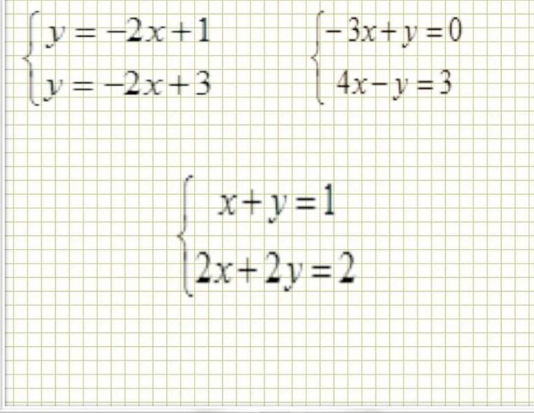
решение системы уравнения:​

Приложения:

Ответы

Ответ дал: yegorbond24
0

Ответ:

Объяснение:

В первом y принадлежит пустому множеству. Во втором x=3, y=9.

В третьем и х, и у 0.5


nurayim27: можно с объяснением, т.е график и таблички
Вас заинтересует