• Предмет: Информатика
  • Автор: danilKashi2006
  • Вопрос задан 3 года назад

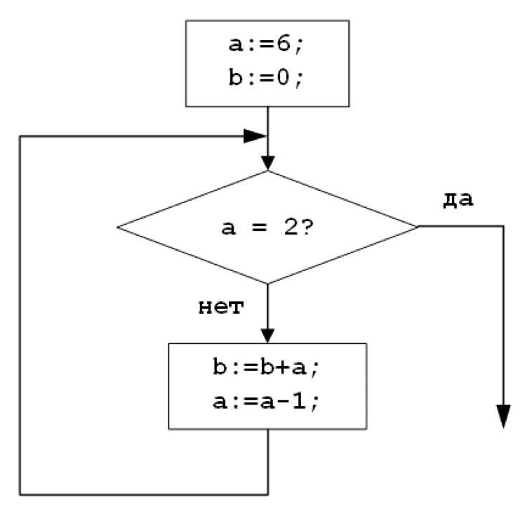
Определите значения переменной b после выполнения фрагмента алгоритма

Приложения:

Ответы

Ответ дал: ReversUI
3

Ответ:

18

Объяснение:

a = 6

b = 0

while a != 2:

   b = b + a

   a = a - 1

print(b)

Проверку с помощью Python делал

Вас заинтересует