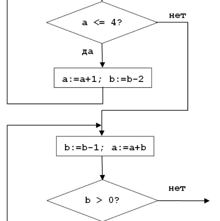
Определите значения переменных после выполнения фрагмента алгоритма.вверху написано a:=1 b:=11
1)a
2)b
Приложения:

Ответы
Ответ дал:
2
Ответ:
1) 7
2) 2
Объяснение:
Не уверена, но вроде все так
Вас заинтересует
2 года назад
2 года назад
2 года назад
7 лет назад
7 лет назад
9 лет назад
9 лет назад