Определите относительную молекулярную массу следующих веществ: Fe2 O3, H2 O, Mg cl2 пожалуйста помогите дам 50
Ответы
Ответ дал:
2
Ответ:
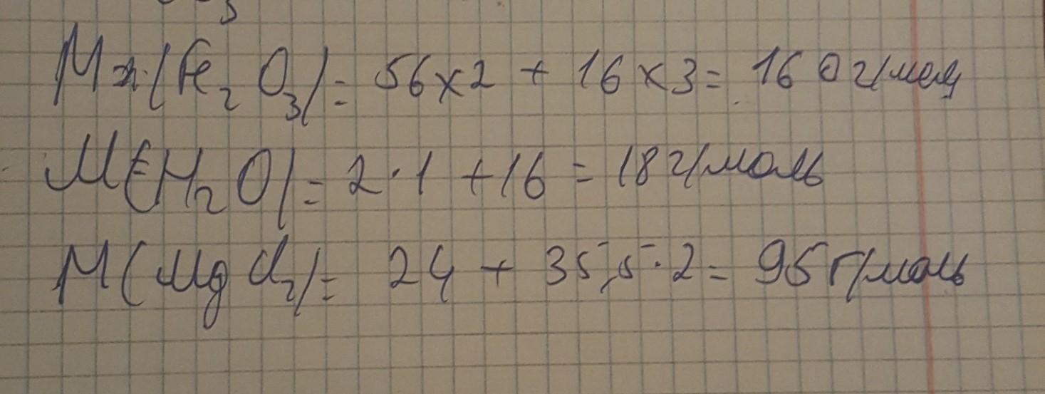
вот ответ ............
Приложения:

akramovad20:
спасибо тебе огромнок
Ответ дал:
2
Ответ:
Mr(Fe2O3)=56×2+16×3=160
Mr(H2O)=2×1+16=18
Mr(MgCl2)=24×1+35,5×2=95
Объяснение:
Вас заинтересует
2 года назад
2 года назад
2 года назад
2 года назад
7 лет назад
7 лет назад
9 лет назад
9 лет назад