Ответы
Ответ дал:
1
---------------------------
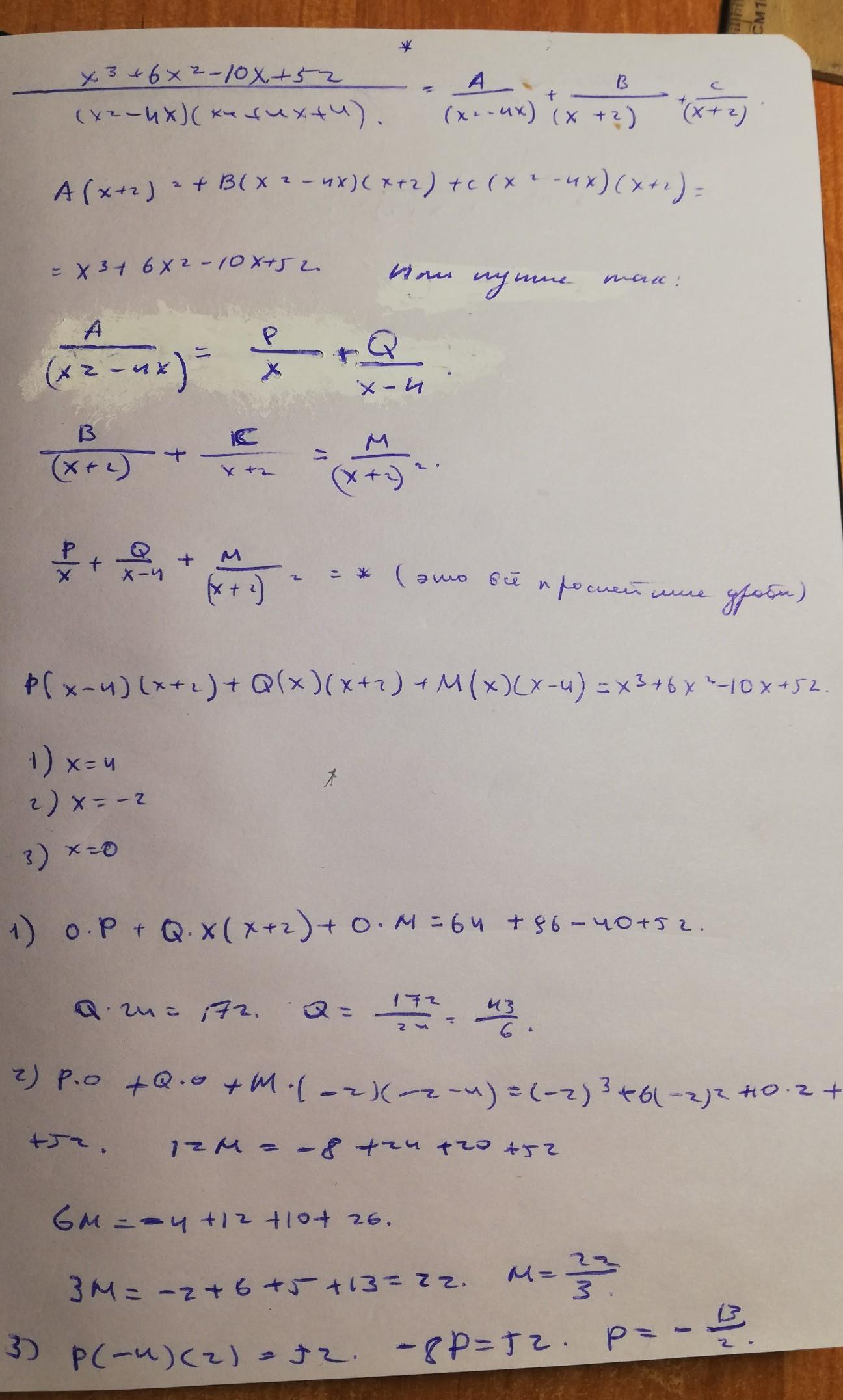
Приложения:




Вас заинтересует
2 года назад
2 года назад
2 года назад
2 года назад
7 лет назад
7 лет назад
9 лет назад