• Предмет: Математика
  • Автор: missisoladuska1
  • Вопрос задан 3 года назад

ПЕРВОГО СДЕЛАЮ ЛУДШИМ ОТВЕТОМ! ДАЮ МНОГО БАЛЛОВ! Помогите пж​

Приложения:

Ответы

Ответ дал: danilpapush3412
0

Пошаговое объяснение:

Все, ставь лучший ответ. и подпишись

Приложения:

danilpapush3412: сейчам выложу
danilpapush3412: иди смотри
danilpapush3412: ну что?
danilpapush3412: так что у тебя ошибка)
danilpapush3412: а, блин
danilpapush3412: не ошибка
danilpapush3412: пздц
IlyaKhar: лол
danilpapush3412: ладно
danilpapush3412: (...
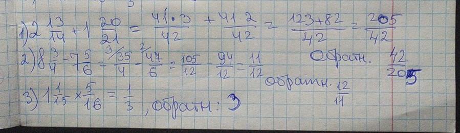
Ответ дал: IlyaKhar
2

Ответ:

Пошаговое объяснение:

Число обратное - это число, которое в произведении с изначальным дает 1.

2\frac{13}{14} +1\frac{20}{21} =\frac{41}{14}+\frac{41}{21} =\frac{41*3}{42}  +\frac{41*2}{42} =\frac{41*5}{42} =\frac{205}{42} \\

Число обратное: \frac{42}{205}

8\frac{3}{4} -7\frac{5}{6} =\frac{35}{4} -\frac{47}{6} =\frac{35*3}{12} -\frac{47*2}{12}=\frac{105}{12} -\frac{94}{12}  =\frac{11}{12} \\

Число обратное: \frac{12}{11} \\

1\frac{1}{15} *\frac{5}{16} =\frac{16}{15} *\frac{5}{16} =\frac{5}{15} =\frac{1}{3}

Число обратное: 3


danilpapush3412: тут не совсем всё то
Вас заинтересует