• Предмет: Математика
  • Автор: Yeseninsgirl
  • Вопрос задан 3 года назад

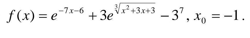
Вычислить f'(x0) ???​

Приложения:

Ответы

Ответ дал: Аноним
2

f'(x)= -7е⁻⁷ˣ⁻⁶+(3*(1/3)е^(∛(x²+3x+3))(2x+3))/(x²+3x+3)²/³

f'(-1)= -7е⁷⁻⁶+е^(∛(1-3+3))(-2+3))/(1-3+3)²/³=-7е+е=-6е

Вас заинтересует