Ответы
Ответ дал:
1
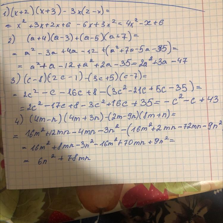
Ответ на фотографии
Приложения:

Ответ дал:
1
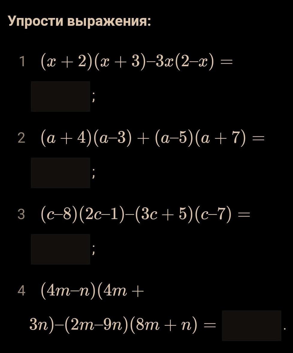
Ответ:
1) 4x^2-x+6
2) 2a^2+3a-47
3) -c^2-c+43
4)78mn+6n^2
Вас заинтересует
2 года назад
2 года назад
2 года назад
2 года назад
7 лет назад
7 лет назад