• Предмет: Алгебра
  • Автор: nikita199720
  • Вопрос задан 11 лет назад

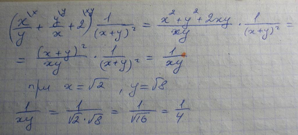
Упростите выражение , найдите его значение при  x=√2 у=√8 
( frac{x}{y} + frac{y}{x} +2)* frac{1}{(x+y)^{2} }

Ответы

Ответ дал: LilitKit
0
Решение в прикрепленном файле
Приложения:
Вас заинтересует