• Предмет: Алгебра
  • Автор: anastasia0419
  • Вопрос задан 3 года назад

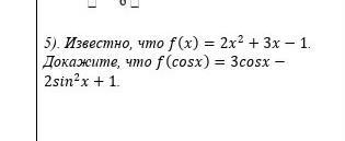
помогите
известно, что f (x)...​

Приложения:

Ответы

Ответ дал: manyny06
1

Ответ:

решение на фотографии

Приложения:

anastasia0419: спасибо большое
Вас заинтересует