• Предмет: Математика
  • Автор: MENTOS73
  • Вопрос задан 3 года назад

Решите пожалуйста какую нибудь задачу по Дифференциальным уравнениям. Нужно срочно!

Приложения:

Miroslava227: только одну?
MENTOS73: Нужно 3 задачи решить. #1 я решил, остальные не могу. Нужно еще 2

Ответы

Ответ дал: Miroslava227
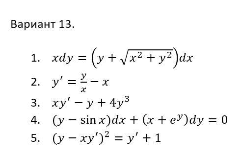
1

Ответ:

2.

y -  \frac{y}{x}  =  - x

Это ЛДУ. Замена:

y=UV

y'=U'V+V'U

U'V + V'U  -  \frac{UV}{x}  =  - x \\ U'V +U(V' -  \frac{V}{x} ) =  - x

1)V' -  \frac{V}{x}  = 0 \\  \frac{dV}{dx}  =  \frac{V}{x}  \\ ∫ \frac{dv}{V}  = ∫ \frac{dx}{x}  \\  ln(V)  =  ln(x)  \\ v = x

2)U'V =  - x \\  \frac{dU}{dx}  \times x =  - x \\ ∫dU =  - ∫dx \\ U =  - x + c

y = UV = x(-x+C) = -x^2+Cx - общее решение

4.

(y -  \sin(x) )dx  + (x  +   {e}^{y} )dy = 0

Найдём производные второго порядка:

F"xy=(y-sinx)'(по у) = 1

F"yx=(x+e^y)'(по х) = 1

обе производные равны, значит это ДУ в полных дифференциалах.

F = ∫(y -  \sin(x) )dx = yx  +  \cos(x) +  \gamma (y)

Теперь нужно найти вот эту неизвестную функцию (гамма от у):

F'y = x +  \gamma' (y)

x +  \gamma' (y) = x +  {e}^{y}  \\   \frac{d( \gamma )}{dy}  =  {e}^{y} \\  ∫d \gamma  = ∫ {e}^{y}dy \\  d \gamma  =  {e}^{y}  + c

Собираем функцию:

F= xy + cosx +e^y + C - общее решение.

Вас заинтересует