• Предмет: Физика
  • Автор: lycoff
  • Вопрос задан 3 года назад

Помогите пожалуйста с задачей по электротехнике.
срочно!!!

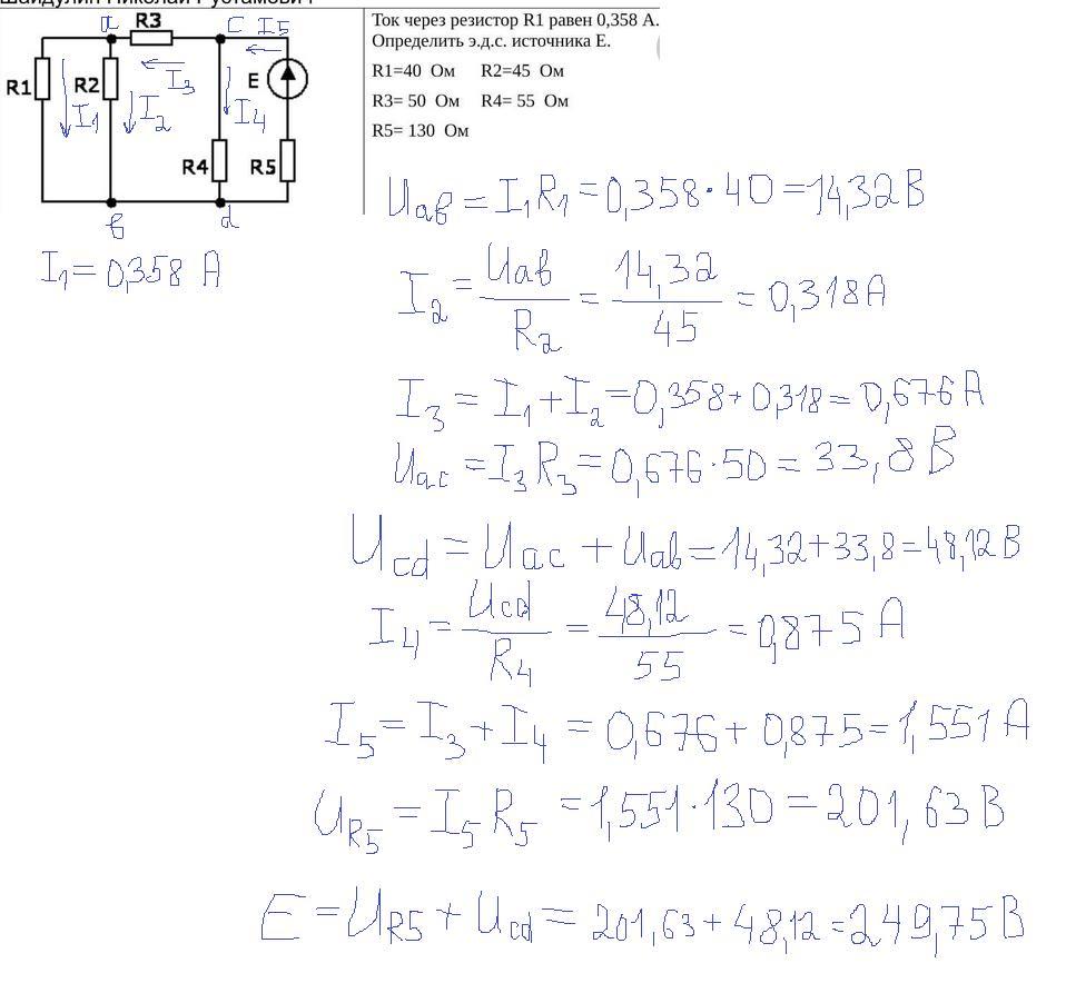
Приложения:

Ответы

Ответ дал: ssroman72
0

Ответ:

Решение смотреть на картинке

Объяснение:

Приложения:
Вас заинтересует