• Предмет: Физика
  • Автор: Аноним
  • Вопрос задан 3 года назад

2) Автобус проехал 300 м со скоростью 54 км/ч, затем 200 м со скоростью 72 км /ч. Определите среднюю скорость на всем пути.

Ответы

Ответ дал: khanafievatomiris
1

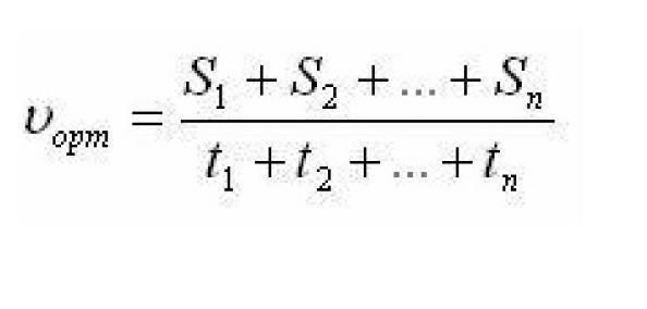
t1 = S1÷V1

V1= 54км/ч = 15м/с

t1= 300÷15=20с

t2=S2÷V2

V2= 72 км/ч= 20м/с

t2=200÷20=10с

V(средняя)= (S1 +S2) ÷ (t1 +t2)

V(средняя)= (300+200)÷(20+10)= 500÷30= 16,67 м/ч

Объяснение:

по формуле сверху

Приложения:
Вас заинтересует