Ответы
Ответ дал:
2
Ответ:
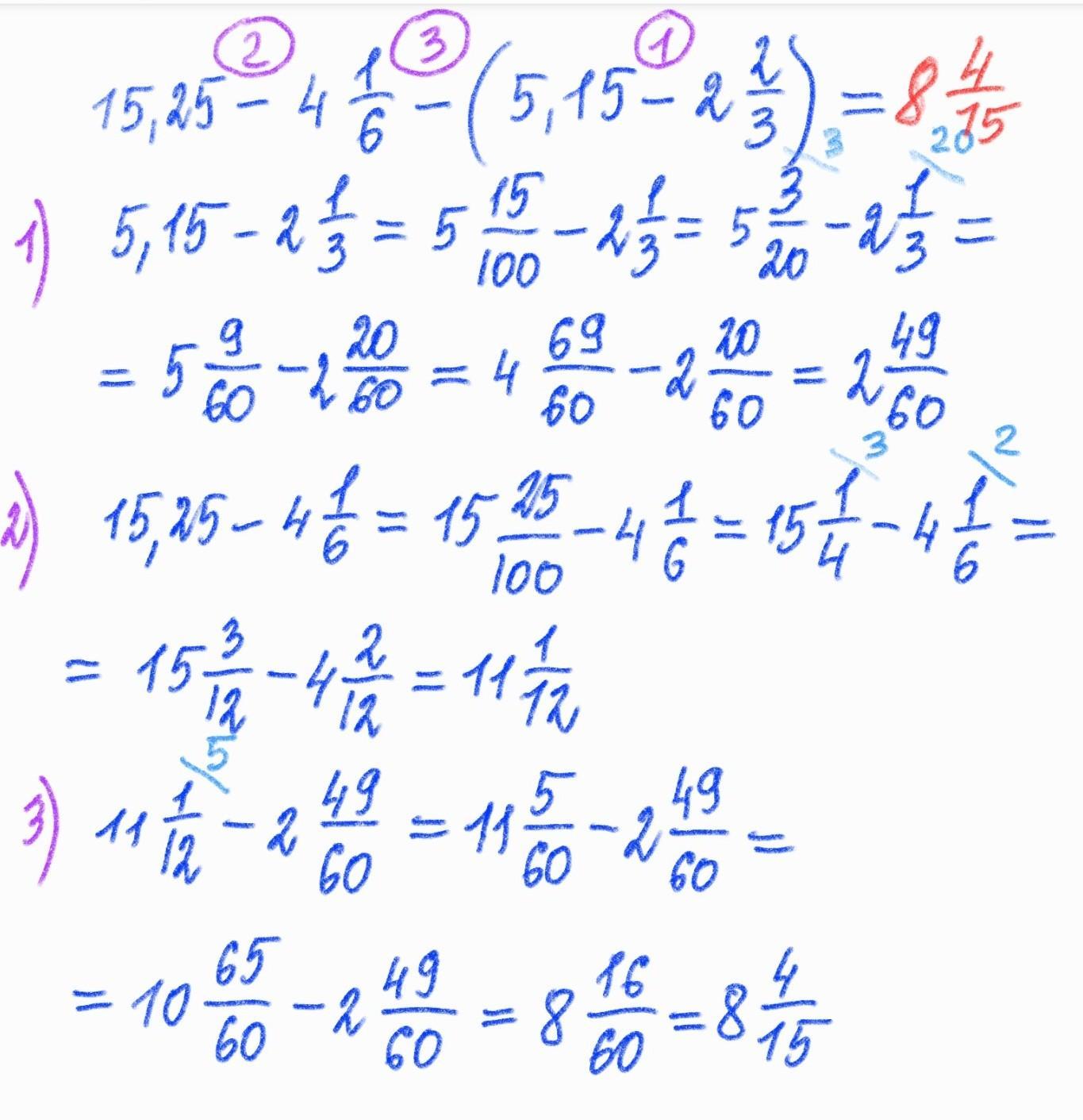
вычмсление на фото в приложении
Приложения:

Ответ дал:
1
.......................
Приложения:

Вас заинтересует
2 года назад
2 года назад
9 лет назад