Ответы
Ответ дал:
1
Ответ:
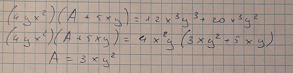
здесь я просто вынес общий множитель
Приложения:

dukefissura:
спасибо, ты очень мне помог. ^^
Вас заинтересует
2 года назад
2 года назад
2 года назад
2 года назад
7 лет назад
9 лет назад